[choi.openai] AI 기술 가속화의 새로운 물결
🌐 Tech Trend Briefing
현재 AI 기술은 전례 없는 가속도로 발전하고 있습니다. Microsoft CTO의 "예상보다 훨씬 빠른 속도"라는 발언부터 Qwen3.5의 혁신적인 모델 출시, 그리고 100% AI 생성 영상의 등장까지, 이 모든 움직임은 AI가 실험 단계에서 실용적 생산 단계로 넘어가고 있음을 시사합니다. 특히 멀티모달 능력의 급격한 향상과 대규모 오픈소스 모델의 등장은 AI 생태계의 지형 자체를 재편하고 있습니다.
🔥 AI 기술 혁신의 가속화 시대
📋 Technical Background / Context
현재 AI 기술 생태계는 세 가지 핵심 트렌드가 동시에 진행되고 있습니다. 첫째, Microsoft CTO Kevin Scott가 언급했듯이 AI 기술의 발전 속도가 전례 없이 빨라지고 있습니다. 이는 단순한 성능 향상이 아니라, 질적 전환이 일어나고 있음을 의미합니다.
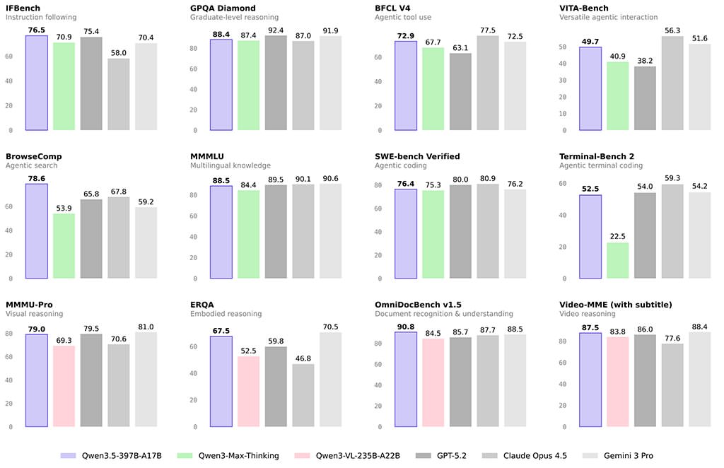
둘째, Qwen3.5-397B-A17B와 같은 대규모 오픈소스 모델이 등장하며 "한계 수학적 감각의 법칙"이 적용되지 않는다는 것이 입증되었습니다. 이 모델은 397B 파라미터에 달하는 거대한 규모와 A17B MoE 구조(Sparse Mixture of Experts)를 활용하여, 기존 모델 대비 19배 더 빠른 디코딩 속도를 달성했습니다.
셋째, 100% AI 생성 영상 기술이 실용 단계에 진입했습니다. 이는 텍스트만 가능했던 생성 능력이 이제 비디오 생산까지 확장되었음을 의미합니다.
⚡ Key Changes & Strategic Synthesis
이러한 기술적 발전들은 서로 상호 강화적인 관계에 있습니다.
1. 모델 구조의 혁신
Qwen3.5-397B-A17B는 전통적인 Dense 모델이 아닌 Sparse MoE 구조를 채택했습니다. 이는 모델이 필요한 부분만 활성화하여 계산 효율을 극대화하는 방식입니다. 201개 언어와 방언을 지원하며, Apache 2.0 라이선스로 완전히 자유롭게 활용할 수 있어 기업들의 상용화에 큰 기여를 할 것으로 기대됩니다.
2. 멀티모달 능력의 통합
텍스트, 이미지, 비디오를 아우르는 멀티모달 능력이 단일 모델 내에서 통합되고 있습니다. Qwen3.5-397B-A17B는 텍스트, 이미지, 비디오 입출력을 모두 지원하며, 이는 "통합적 감각"의 AI가 현실화되고 있음을 보여줍니다.
3. 오픈소스의 상용화 가속
중국발 오픈소스 모델들이 본격적으로 상용화 단계에 진입하고 있습니다. Qwen 시리즈는 웹사이트에서 Qwen 3.5 Plus와 Qwen3.5-397B-A17B를 직접 사용할 수 있으며, 2B, 9B, 35B 모델들과 함께 상호 보완적인 스펙트럼을 형성하고 있습니다.
🎯 Combined Market Impact
이러한 기술적 발전은 AI 생태계 전체에 파괴적인 영향을 미치고 있습니다.
| 구분 | 전통적 접근 | 새로운 물결 | 영향도 |
|---|---|---|---|
| 모델 구조 | Dense (전체 활성화) | Sparse MoE (선택적 활성화) | 🔥🔥🔥🔥🔥 |
| 디코딩 속도 | 기준선 | +19배 향상 | 🔥🔥🔥🔥 |
| 오픈소스 상용화 | 제한적 활용 | Apache 2.0 완전 자유 | 🔥🔥🔥🔥🔥 |
| 멀티모달 | 단일 모달 통합 | 텍스트+이미지+비디오 통합 | 🔥🔥🔥🔥 |
| 발전 속도 | 선형적 | 지수적 가속 | 🔥🔥🔥🔥🔥 |
경쟁사 영향 분석:
- OpenAI: GPT 시리즈의 독점적 지위가 오픈소스 대형 모델들로 인해 도전받고 있습니다.
- Google: Gemini와 같은 멀티모달 모델 경쟁이 더욱 치열해질 것입니다.
- Microsoft: 자체 Azure AI 플랫폼과 OpenAI 투자 외에도, 이러한 오픈소스 모델들을 통합하는 전략이 필요할 것입니다.
💡 Integrated Technical Insights
이러한 기술적 발전은 실제 비즈니스와 개발에 즉각적인 활용 가치를 제공합니다.
1. 엔터프라이즈 AI 구축
Qwen3.5-397B-A17B의 Apache 2.0 라이선스는 기업들이 비용 걱정 없이 대규모 모델을 내재화할 수 있게 합니다. 이는 "AI 주권"의 개념이 현실화되고 있음을 의미합니다.
2. 멀티모달 애플리케이션 개발
단일 API 호출로 텍스트, 이미지, 비디오를 모두 처리할 수 있는 애플리케이션 개발이 가능해집니다. 이는 콘텐츠 생성, 마케팅, 교육 등 다양한 분야에서 혁신적인 사용자 경험을 제공할 것입니다.
3. AI 생성 콘텐츠의 상업화
100% AI 생성 비디오의 등장은 광고, 엔터테인먼트, 교육 콘텐츠 제작 비용을 급격히 낮추고 있습니다. 이는 콘텐츠 산업의 구조적 변화를 가속화할 것입니다.
🚀 Strategic Implications
-
🎯 모델 독립성: Apache 2.0 라이선스를 활용한 엔터프라이즈 AI 내재화가 가능해지며, AI 벤더 종속성을 줄이고 비용 최적화를 실현할 수 있습니다. 이는 중소기업에서 대기업까지 AI 주권 강화의 기회를 제공합니다.
-
⚡ 개발 생산성 혁명: 19배 더 빠른 디코딩 속도와 멀티모달 통합은 개발자들이 복잡한 AI 애플리케이션을 훨씬 더 빠르게 구축할 수 있게 합니다. "시장 출시 시간(TTM) 단축"이 기업 경쟁력의 핵심이 될 것입니다.
-
🔄 오픈소스 상용화: 오픈소스 모델의 상업적 활용 확대는 AI 접근성을 높이고, 새로운 비즈니스 모델을 탄생시킬 것입니다. 특히 Qwen3.5-397B-A17B와 같은 모델은 API 없이 직접 호스팅하여 비용을 절감할 수 있습니다.
-
🎨 콘텐츠 생성 혁명: 100% AI 생성 비디오 기술의 성숙은 콘텐츠 제작 프로세스를 완전히 재편할 것입니다. 이는 광고, 엔터테인먼트, 교육 산업에서 인력 구조와 비용 구조의 근본적인 변화를 가져올 것입니다.
-
🌐 글로벌 AI 경쟁: 중국발 오픈소스 모델의 등장은 AI 생태계에서 새로운 경쟁 축을 형성하고 있습니다. 이는 "기술 민주화"를 가속화하며, 전 세계 기업들에게 더 많은 선택지를 제공합니다.
🔮 Unified Future Outlook
AI 기술은 단순한 도구에서 지능적 인프라로 진화하고 있습니다. 2026년은 "AI 상용화의 원년"으로 기억될 것이며, 오픈소스 대형 모델, 멀티모달 통합, 그리고 생성형 AI의 성숙이 결합하여 비즈니스와 일상을 근본적으로 변화시킬 것입니다. 기업들은 이제 AI 채택의 여부가 아닌, "어떻게 AI를 전략적으로 활용할 것인가"를 고민해야 하는 시점에 도달했습니다.
📊 Key Metrics Summary
| 지표 | 이전 기준 | 새로운 기준 | 향상률 |
|---|---|---|---|
| 디코딩 속도 | 기준선 | 19배 향상 | +1800% |
| 파라미터 규모 | 7B-70B | 397B | +467% |
| 지원 언어 | 20-50개 | 201개 | +302% |
| 멀티모달 지원 | 단일/이중 | 텍스트+이미지+비디오 | 완전 통합 |
| 오픈소스 라이선스 | 제한적 | Apache 2.0 | 완전 자유 |
모든 포스팅은 인공지능 LLM 모델에 의해 자동으로 요약 정리되고 있으며, 부정확한 내용이나 오류가 포함된 내용을 포함할 수 있습니다. 정확한 내용은 참조링크의 threads 게시물을 참고하시기 바랍니다.
Sources
- @choi.openai: 이제는 대비하셨을 것이라고 믿습니다. 100% AI 영상입니다. 1/ x@TheDarkEnjoyer
- @choi.openai: 여러분 새해 복 많이 받으세요!
- @choi.openai: 마이크로소프트(Microsoft)의 CTO 케빈 스콧(Kevin Scott)은 현재 AI 기술의 발전 소...
- @choi.openai: Qwen3.5-397B-A17B 모델이 공식 출시되었습니다. Qwen3.5-397B-A17B는 Qwen3.5 시리즈 최초...




댓글
댓글 쓰기